Staš Zgonik
MLADINA, št. 26, 29. 6. 2012
Goran Dragić je imel letos izjemno sezono v ameriški košarkarski ligi NBA. Po treh sezonah igranja na položaju pomožnega organizatorja igre se mu je končno ponudila priložnost, da se dokaže kot član prve peterke. Zgrabil jo je z obema rokama. V moštvu Houston Rockets je v letošnji sezoni v povprečju igral po 26 minut na tekmo, dosegal pa slabih 12 točk in dobrih pet podaj.

Goran Dragić bo to poletje pod drobnogledom številnih moštev v ligi NBA
© Profimedia
To so solidne, ne pa spektakularne številke. Te so prišle na vrsto v drugi polovici sezone, po poškodbi prvega organizatorja igre Kyla Lowryja. V 28 tekmah, ki jih je Dragić odigral kot član prve peterke, je v povprečju dosegal po več kot 18 točk in osem podaj, kar ga uvršča med najboljših deset organizatorjev igre v ligi NBA. Ker mu s koncem sezone poteče pogodba s Houstonom, je pričakovati, da si ga bodo številna moštva zaželela v svojih vrstah in da bo postal eden najbolje plačanih slovenskih športnikov v zgodovini. A preden se bo katero od moštev odločilo Dragiću ponuditi večdesetmilijonsko večletno pogodbo, jih bo zanimalo kaj več kot zgolj površinska statistika povprečnega števila točk in podaj na tekmo.
Podatkov o Dragićevi igri se bodo poleg starih košarkarskih mačkov lotili tudi strokovnjaki za statistične analize. Zanimalo jih bo, koliko točk prednosti ali zaostanka moštvo v povprečju pridobi, ko je Dragić v igri ali na klopi. Preverili bodo, kako učinkovit je v odločilnih trenutkih napetih tekem. Zanimalo jih bo, kako uspešen je v napadu igralec, ki ga Dragić krije. Skratka, želeli bodo podrobno globinsko sliko njegovih individualnih sposobnosti in, to je še pomembneje, učinka, ki ga ima na soigralce in na uspeh moštva, za katero igra.
Vsak se bo dela lotil s svojim naborom skrbno varovanih metrik in algoritmov za izračun. A zagotovo bodo med drugim upoštevali, da odstotek zadetih metov njegovega moštva, ko je Dragić na parketu, poskoči za tri odstotne točke, ker je sposoben soigralcem žoge podajati na njihova priljubljena mesta za met. Ne bodo spregledali, da je Dragić med najboljšimi v ligi v hitrih protinapadih, saj jih uspešno zaključi kar 71 odstotkov, poleg tega igra še vlogo podajalca pri 20 odstotkih metov, ki jih v protinapadih izpeljejo njegovi soigralci. Gotovo bo zanimiv tudi podatek, da je s soigralcem Luisom Scolajem sestavljal enega najboljših tandemov v ligi, saj mu je v samo 1038 minutah asistiral pri 71 koših. To pa je stopnja, enaka tisti, ki sta jo zmogla superzvezdnika moštva Oklahoma City Thunder Kevin Durant in Russell Westbrook.
V ligi NBA skoraj ni več moštva, ki si pri izbiri igralcev, pa tudi pri določanju taktike za premagovanje nasprotnikov ne bi pomagalo z ugotovitvami statističnih analitikov. Moštvo Dallas Mavericks je za zdaj edino, ki je enega zaposlilo kar v trenerskem štabu. Mavericksi so lani osvojili naslov prvaka. »Po mojem je statistična analiza odigrala pomembno vlogo pri lanski osvojitvi naslova prvaka lige NBA,« pravi dr. Ben Alamar, profesor športne statistike na poslovni šoli Menlo College s sedežem v Silicijevi dolini in ustanovitelj znanstvene revije Journal of Quantative Analysis in Sport.
Analitični virus
Košarka ni prvi šport v Severni Ameriki, ki ga je okužil virus napredne statistične analize. Pionir v tem je bejzbol, kjer je prisotna že nekaj desetletij. Ključni katalizator, ki je analitiko potisnil v ospredje, pa je bila knjiga iz leta 2003 Moneyball, v kateri Michael Lewis opisuje uspeh bejzbolskega moštva Oakland Athletics. Gre za ekipo z nekajkrat nižjim proračunom od najboljših moštev v ameriški profesionalni ligi MLB, ki pa ji je zaradi uporabe naprednih statističnih analiz pri sestavi »podcenjene« igralske zasedbe uspelo doseči nekaj izjemnih uspehov, med drugim tudi absolutni rekord po številu zaporednih zmag v ligi. Po knjigi so lani posneli film z Bradom Pittom v glavni vlogi. Oakland Athletics je danes spet povprečno moštvo. Ne zato, ker bi nehalo uporabljati napredne statistične analize, temveč zato, ker to danes počno prav vse ekipe v ligi, s čimer je njegova konkurenčna prednost izničena. Bejzbol še vedno velja za šport, v katerem je napredna statistična analiza najbolj razvita. Sledi mu košarka, za petami pa so ji številni drugi športi, od hokeja do golfa. V vrhunskem športu, tako kot v kateremkoli drugem poslu, kjer so razlike pri vrhu minimalne, vložki pa tudi večstomilijonski, pač pride prav vsaka konkurenčna prednost. In napredna analitika jo lahko zagotovi, je prepričan dr. Alamar. »Vsakič, ko na neko področje uvedete novo tehnologijo, bodo v nekem obdobju tisti, ki so vodilni pri uporabi te tehnologije, imeli prednost pred drugimi, preprosto zato, ker bodo razpolagali z boljšimi informacijami.« Na podlagi boljših informacij se je namreč mogoče bolje odločati.
V vrhunskem športu, tako kot v kateremkoli drugem poslu, kjer so razlike pri vrhu minimalne, vložki pa tudi večstomilijonski, pride prav vsaka konkurenčna prednost.
Statistika se začne s podatki, konča pa z informacijami. Vse poslovne organizacije, tudi športne, razpolagajo z velikansko količino podatkov. Če jih primerno uredimo in ovrednotimo, nam omogočijo vpogled v dogajanje, ki ga sicer ne bi imeli. »V vsaki sezoni košarkarske lige NBA igralci večstotisočkrat vržejo na koš. Nobene možnosti ni, da bi si ogledali vse mete,« pravi Alamar. »Imamo pa na voljo podatke o vsakem od njih. In te podatke lahko analiziramo.« Ne gre več samo za podatke o številu metov in zadetkov. Moštva vse natančneje spremljajo, iz katerega položaja na igrišču je igralec vrgel žogo in kako si je priboril prostor, kako tesno je bil pri tem krit in ali je imel pri tem boljše možnosti. Zadetek ne pomeni več nujno pozitivnega prispevka k oceni igralca, če je bil met, ki mu je zadetek sledil, neracionalen. Igra ni več niz izvršenih dejstev, ampak upravljanje s tveganji in verjetnostmi za ugoden izid. Met iz igre ni več samo met iz igre. Treba je upoštevati, da met za tri točke prinaša manjšo verjetnost zadetka, a hkrati večjo potencialno korist, če je uspešen. Zanimivo je na primer, da met za tri točke iz kota igrišča pri poučenih velja za enega najučinkovitejših metov v košarki.

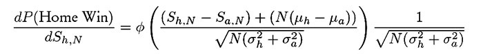
Enačba, ki izraža vpliv dosežene točke v košarki na verjetnost zmage domače ekipe, vzeta iz enega od nagrajenih prispevkov letošnje Sloan Sports Analytics konference, ki se ukvarja z vplivom pritiska gledalcev na uspešnost igralcev
Število točk, ki jih povprečno dosega igralec, je povsem nezadostno merilo za presojanje učinkovitosti njegove igre v napadu. Prvič je treba upoštevati število metov, ki jih porabi za svoj strelski izkupiček. Drugič je treba, če ga primerjamo z drugimi igralci, njegov igralni čas spraviti na skupni imenovalec z igralnim časom drugih, na primer preračunati točke, ki bi jih dosegel v 40 minutah na parketu. A tudi to je nezadostno. Če moštvo igra s počasnejšim tempom, če počasneje končuje napade, bo imel igralec v enakem časovnem obdobju manj priložnosti za dosego koša. Zato je edino smiselno povprečje doseženih točk preračunati še na skupni imenovalec po številu napadov. Pa tudi to še ni dovolj. Če igralec večino točk doseže, ko ima njegovo moštvo veliko prednost ali pa je v velikem zaostanku, so te točke vredne manj, kot pa na tekmah, kjer je izid zelo izenačen in se moštvi menjavata v vodstvu. Vsak doseženi koš je treba torej ustrezno ovrednotiti tudi glede na trenutno razmerje v točkah.
Videti skrito
Informacije, pridobljene z naprednimi analizami podatkov, imajo poleg omogočanja kakovostnejših primerjav med igralci in vpogleda v neraziskane globine igre še dodatno prednost – nepristranskost. Kot poudarja Alamar, je ta lahko pomemben korektiv pri odločitvah o sestavi moštva. »Ogledniki moštev se spoznajo na igro in pri igralcih opazijo veliko podrobnosti, vendar je pri njih, tako kot pri vseh ljudeh, opazna tudi naravna težnja, da nekaterih stvari ne vidijo povsem objektivno. Statistična analiza ni pristranska, je popolnoma objektivna.« Včasih se bodo sklepi oglednikov in statistikov ujemali, včasih pa ne. »Prav v teh primerih je uporaba statistike izjemno dragocena, saj se lahko na podlagi tega začnemo spraševati in si odpremo pot do bolj poglobljenega razumevanja sposobnosti igralcev.« In moštev.

Direktor bejzbolskega moštva Oakland Athletics Billy Beane je po zaslugi zaupanja v analitiko finančno prikrajšano ekipo za nekaj let postavil ob bok najbogatejšim
© Profimedia
Kobe Bryant, zvezdnik moštva Los Angeles Lakers, je eden najboljših košarkarjev na svetu. Slovi pa tudi kot tisti, ki v končnicah tekem z izenačenim izidom ohrani najbolj mirne živce. Eden od njegovih vzdevkov je celo »Zaključevalec« (angl. Closer). »Ko pa se zakopljete v številke, vidite, da ta vtis ni najbolj pravilen,« pripoveduje Edmundo Macedo, vodja statističnega oddelka največjega svetovnega športnega medijskega imperija ESPN. »Bryant dejansko zadene veliko metov, s katerimi svojemu moštvu zagotovi izenačenje ali zmago, a prav tako veliko metov zgreši. V končnicah od leta 2007 je celo zgrešil vseh sedem odločilnih metov. Vsi drugi člani moštva LA Lakers so prav tako zgrešili pri sedem metov, a jih štiri tudi zadeli.« ESPN je znotraj oddelka za statistiko lani ustanovil posebno skupino za napredne statistične analize. Vodi jo pionir statistične analize v košarki Dean Oliver, ki je posebej za Mladino izbral na začetku članka naštete »sladkorčke« o Goranu Dragiću. Kot pojasnjuje Macedo, jim analiza omogoča odkrivanje zgodb, ki jih sicer s pregledovanjem površinskih statistik in opazovanjem ne bi mogli videti. »Statistična analiza podatkov je na primer omogočila razbitje mita o Bryantovi neprimerno večji učinkovitosti v zaključkih tekem.« Analize torej med drugim omogočajo odkrivanje slabosti pri najbolj cenjenih igralcih. In odkrivanje podcenjenih igralcev. »Res ne ujame veliko odbitih žog, a izboljša skoke soigralcev za žogo. Ne meče veliko, ko pa se vendarle odloči za mete, so ti statistično najučinkovitejši. /.../ V obrambi redno krije najboljše strelce v ligi in pomembno zmanjša uspešnost njihovega meta, hkrati pa tudi izboljša obrambne sposobnosti soigralcev.« Tako je Michael Lewis pred nekaj leti v New York Timesu opisal Shana Battierja, takrat košarkarja moštva Houston Rockets, ki ga je predstavil kot najbolj nesebičnega igralca v ligi in ki si je tudi zaradi tega članka pridobil sloves izjemno koristnega člena v moštvu. V košarki, pojasnjuje Lewis, vlada napetost med interesi moštva in interesi posameznega igralca. »Igra neprestano mami igralce k dejanjem, ki niso v interesu celotnega moštva.« S poglobljeno analizo podatkov je mogoče veliko bolje videti, kateri igralci se (pre)večkrat vdajo skušnjavi.
Zadetek ne pomeni nujno pozitivnega prispevka k oceni igralca, če je bil met, s katerim je zadel, neracionalen. Igra ni niz izvršenih dejstev, ampak upravljanje stveganji in verjetnostmi za ugoden izid.
Resna znanost
Leta 2006 se je skupina študentov poslovnih ved na tehniški univerzi MIT odločila pripraviti konferenco o športni analitiki. Prišlo je nekaj deset ljudi. Letos jih je bilo na konferenci Sloan Sports Analytics, kot se imenuje, že več kot dva tisoč, skupaj s predstavniki večine največjih svetovnih športnih klubov. Trlo pa se je tudi analitikov, ki so zainteresiranemu občinstvu predstavljali svoje inovativne načine analize podatkov. Glavno nagrado je letos dobil prispevek o analizi skokov za odbito žogo na podlagi podatkov, zbranih z optičnim sledilnikom. »Lahko se premaknemo naprej od izida skoka, torej tega, kdo si je priboril žogo, in odkrijemo nelinearno razmerje med lokacijo meta in njenim učinkom na stopnjo verjetnosti skoka v napadu ter višino, na kateri je bila žoga ujeta,« so v povzetku zapisali avtorji, vsi računalniški inženirji, ki trdijo, da lahko njihova analiza igralcem pomaga do boljšega odločanja glede gibanja, ko si prizadevajo priti do odbite žoge. Lani je glavno nagrado dobil prispevek, v katerem so avtorji na vzorcu vseh igralcev v ligi NBA v zadnjih desetih letih dokazali, da se njihova igra zadnje leto pred iztekom pogodbe, ko se morajo »pokazati« potencialnim novim delodajalcem, pomembno izboljša.
Eden od predsedujočih konferenci je Darly Morey, direktor košarkarskega moštva Houston Rockets. Morey nima posebnega košarkarskega predznanja, pri svoji glavni nalogi – sestavi moštva – se bolj zanaša na poznavanje analize podatkov. Prav on ima zasluge za »odkritje« Shana Battierja. In on je v klub pripeljal Gorana Dragića. Lastnik Rocketsov Les Alexander je za New York Times pojasnil, da je Moreya najel, ker je želel nekoga, ki bo na igralce gledal tudi iz manj vsakdanjih zornih kotov. »Dejansko nisem prepričan niti, da igro igramo na pravi način.«
Omejitve revolucije
Je šport, kot ga poznamo, v nevarnosti? Se mu obeta, da bo zaradi znanstveno podprtega vnaprej programiranega ponavljanja statistično najučinkovitejših potez izgubil svoje romantične in nepredvidljive adrenalinske trenutke? Nikakor, sta prepričana oba sogovornika. »Še vedno bo obstajala ustvarjalnost, še vedno se bodo na igrišču dogajale izjemne in nepričakovane stvari. Še vedno bodo tekme, pri katerih bo izid izenačen, napete končnice,« pravi Alamar. Pri tem pa bodo gledalci sčasoma pridobili poglobljeno razumevanje svojega priljubljenega športa. Moštva sicer o podrobnostih analiz molčijo, podjetja, ki jih zalagajo s podatki, pa jim zanje zaračunavajo vrtoglave zneske. A zaradi medijev, kot je ESPN, in spletnih strani, kot je na primer košarkarska 82games.com, lahko že danes vsak ljubitelj športa veliko bolj argumentirano kritizira ali hvali svoje idole.
Vsekakor je analitika v športu povzročila pravo malo revolucijo, čeprav je njen vpliv po Alamarjevem mnenju za zdaj vendarle nekoliko precenjen. »Pri tem ne mislim toliko na moč analitike kot na to, koliko se dejansko uporablja. Vsekakor še ni tako vključena v šport, kot si kdo morda misli.« Pa tudi sicer je »revolucija« omejena na ameriške in evropske klube z večstomilijonskimi proračuni. »Pred nami je še dolga pot. Obstaja pa potencial in v doglednem času bo po mojem statistična analiza pomemben del vsake športne organizacije.«
Seveda pa uporaba naprednih statističnih analiz ne zagotavlja uspeha. Še vedno lahko moštvo doživi dolg niz porazov, serijo tekem, izgubljenih za eno samo točko. Le verjetnost zanje se lahko zmanjša. Houston Rockets so idealen primer. Po nekaj razmeroma uspešnih prvih letih Moreyevega upravljanja kluba so zadnje tri sezone ostali brez uvrstitve v končnico lige, torej med najboljših 16 moštev. Še en dober primer so Dallas Mavericks, lanski prvaki – letos so izpadli že v prvem krogu končnice. Premagalo jih je moštvo Oklahoma City Thunder. Tudi to moštvo ima svojega analitičnega »agenta« – dr. Bena Alamarja.